The Meritocracy Tax: A Simpler, Fairer System for All
It's time to replace our broken, 70,000-page tax code with a system so simple and fair, it practically runs itself.
A couple of months ago, I announced Phase 2 of The American Manifesto: the mission to move into a phase of decisive action. This is about more than just critique; it’s about handling the urgent crises we face while simultaneously designing the new systems needed for a better future.
Today, we tackle one of the most ambitious parts of that building project—a proposal I’ve been developing for nearly a year. It’s been a slow, difficult process, especially with the constant, daily battle against fascism demanding so much of our energy. It’s hard to draft blueprints when the house is on fire.
But the fight to build is just as important as the fight to defend.
So today, we build. This is a complete rethinking of our tax system. I call it the Meritocracy Tax. It’s simpler, fairer, and more aligned with American values than the broken system we have today.
A Solution for a Nation in Crisis
Before we dive into the mechanics, let’s be blunt about why this isn’t just an academic exercise. Look around. We are staring down the barrel of a recession. Wealth inequality is the highest it has ever been. We have an affordability crisis, a personal debt crisis, a healthcare crisis, and a food insecurity crisis.
These aren’t separate problems; they are symptoms of a single, broken system designed to funnel wealth to the top while leaving everyone else to fight for scraps.
There has never been a more urgent moment to find a real solution. The proposal that follows isn’t just a new tax; it’s a new engine for the economy designed to tackle all of these crises at their root.
It’s Time to Evolve Again
There was a time when tariffs paid the nation’s bills—though ironically, some politicians now want to drag us back to that era, pretending it’s a path forward. Then came the income tax—a revolutionary system for a modernizing economy. For nearly a century, it worked, more or less.
But we have clearly outgrown it.
You can see it in the endless complexity of rules for wages, capital gains, real estate, and corporate income—each with its own rates and loopholes. You can see it in the army of accountants and lobbyists built to reshape those rules. And you can see it in the result: a system so distorted it allows billionaires to pay proportionally less than teachers and nurses.
That’s not just inefficient. It’s unjust. It’s time to evolve again.
The Core Principle: A Choice to “Spend” or “Keep”
Let’s start from first principles. When you earn income, you can do one of two things with it:
Spend it: You reinvest it back into the economy by buying food, housing, services, or investing in a business. This circulation is the lifeblood of a healthy capitalist system.
Keep it: You extract it from circulation and convert it into private wealth—savings, stocks, property, etc.. This is the portion of the economy you’ve chosen to retain and control for yourself.
Our current system gets this backward. It primarily taxes income, which often penalizes people who are reinvesting 100% of their resources back into the economy just to live. We’re disincentivizing the very activity capitalism depends on.
The Meritocracy Tax flips this script. It’s based on a simple, fair choice. Did you spend all your income? Great. You’ve already put it all back to work in the economy, and you owe no tax. But if you chose to keep a portion—to extract it and build your personal wealth—the system asks for a contribution in proportion to the share of society’s resources you’ve retained.
The Elegant Solution: A “Single Lever” System
So, how do we make that contribution fair, predictable, and meritocratic?
We anchor it to a stable, real-world benchmark: the average long-term return of the S&P 500 (historically around 8% when adjusted for inflation). To ensure this benchmark is exceptionally stable and predictable, it would be calculated as a rolling average over a long period, such as 20 years. This smooths out the volatility of recessions and booms, creating a reliable rate that reflects true economic growth. This becomes the maximum tax rate—the single lever in the entire system.
The logic is simple and powerful:
If your wealth grows faster than the market, you’re rewarded for your skill and contribution. Your wealth grows.
If you simply match the market (say, by investing in an index fund), your wealth stays intact, even after taxes.
Only if your wealth sits idle and unproductive, growing slower than the market, does it shrink slightly, reflecting a fair contribution back to the society that enabled its creation.
This isn’t a penalty on success. It’s a system that rewards contribution, respects choice, and ensures fairness—not through force, but through proportion.
The Reality Check: Modeling a Fair System
To turn this principle into policy, we first need an honest picture of our economy. A theoretical model isn’t enough; it has to be grounded in the real world. That’s why I’ve spent the better part of a year building a computational model using publicly available datasets from the Federal Reserve Economic Data (FRED) repository.
This isn’t a political guess; it’s a mathematical snapshot of our economic reality, and it shows just how concentrated wealth has become.
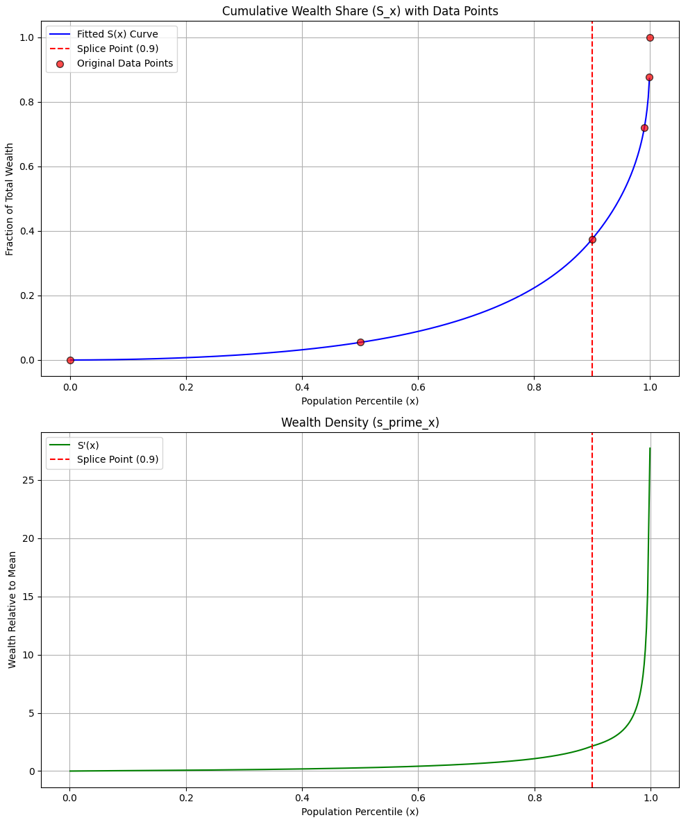
As you can see in the top graph, the blue curve represents the cumulative wealth held by the population. Following it to the 0.9 mark on the horizontal axis, you’ll see it shows that the bottom 90% of Americans hold just 36.9% of the nation’s wealth. Half of Americans, the bottom 50%, hold only 5.4% of the country’s wealth.
This means the wealthiest 10% of the population holds the remaining 63.1%.
The bottom graph tells a more personal story. It illustrates what’s known as wealth density, and its message is even more stark: for a vast swath of Americans, individual wealth is effectively zero. You can see this in the long, flat line that barely lifts off the floor for the majority of the population. Then, as it approaches the top few percentiles, the line rockets upward, showing that the wealth of an individual at the top isn’t just a little more than average; it’s dozens of times greater.
These figures aren’t just my model’s conclusion; they are a direct reflection of the latest analysis from the Federal Reserve itself. This is the truth a fair system must be built on.
The Engine of Fairness: How the Tax Works
So, we have a picture of the nation’s wealth and a maximum tax rate. But how does the system actually determine what any given person pays?
The core principle is proportionality. Your contribution to the national budget is directly proportional to your share of the nation’s taxable wealth.
Think of it like this:
First, we establish the exemption level (which we’ll reveal in a moment).
Imagine all the wealth in the country that sits above that exemption level is gathered into one big conceptual pool. This is the “National Taxable Wealth Pool.”
Your personal taxable wealth (your net worth minus the exemption) is your “stake” in that pool.
We simply calculate what percentage of the total pool your stake represents.
You are then responsible for that exact same percentage of the national budget.
For example, if the total taxable wealth in the country is $100 trillion and your personal taxable wealth is $1 million, you hold one-millionth of that pool. Therefore, you are responsible for paying one-millionth of the national budget.
This is what makes the system so fair. It’s not an arbitrary rate pulled from a complex table; it’s a direct reflection of your economic footprint. The bigger your slice of the taxable pie, the bigger your responsibility for maintaining the society that enabled you to acquire it.
Now, while this principle of proportionality is the engine, the “Single Lever” system we discussed earlier (the 8% benchmark) acts as a crucial safety valve. The final calculations ensure that even with this proportional system, the tax on your productive assets never exceeds that benchmark, preventing punitive rates and rewarding merit.
With that principle in mind, let’s look at the final numbers.
The Big Reveal: Calculating the Exemption
With the principle of proportionality as our engine, we can now answer the most important question.
Given the 2024 federal budget of $6.752 trillion and a maximum tax rate of 8%, what is the exact wealth exemption every adult would receive before paying a single dollar in tax?
Our model solves this for us. It calculates the precise exemption threshold required to meet our budget obligations perfectly.
That number is $961,088.
The vertical orange line marks the exemption percentile at 0.851. This means 85.1% of the adult population—everyone to the left of that line—falls entirely within the exempt zone, paying absolutely nothing. The entire tax burden falls on the wealthiest ~15%, the group represented by the green shaded area where the wealth curve rockets upward. This is fairness, visualized.
Anyone with a net worth below this amount pays nothing. Above it, you only pay the 8% tax on the portion that exceeds the exemption. We can visualize this to see who actually contributes.
Let That Sink In
Let’s pause for a moment and be perfectly clear about what this model demonstrates. With this system:
An adult with nearly a million dollars in assets ($961,088 to be exact) pays zero tax.
The maximum tax anyone pays is capped at a market benchmark, meaning the wealthy can simply invest in an index fund and, on average, preserve their total wealth over the long term. They don’t get poorer.
And yet, with this simple and fair structure, we can fund the entire U.S. federal budget without adding a single penny to the national debt.
It’s a system that doesn’t penalize the middle class or even the aspiring rich. It doesn’t destroy wealth; it rewards its productive use. And it fully funds our society’s needs with a level of simplicity and fairness our current tax code can’t even imagine.
The Unexpected Benefits: A System That Works for Everyone
Beyond its core function, the Meritocracy Tax brings a cascade of secondary benefits that radically simplify our economy and realign it with American values.
It Rebuilds Trust. For generations, our tax code has been a maze of complexity and loopholes, feeding the narrative that the system is rigged for the rich. This model replaces that with something simple, stable, and transparent. By making the rules clear and the code open-source, we restore faith that everyone is playing by the same set of rules.
It Aligns Personal Success with the Public Good. The benchmark system creates a powerful incentive for wealth to be used productively. Passively hoarding wealth means it will shrink over time relative to the broader economy. To preserve or grow wealth, it must be invested—funding new businesses, creating jobs, and driving innovation. This aligns individual financial incentives with the societal goal of a dynamic and growing economy.
It Eliminates Lobbying for Tax Favors. With no special tax classes, loopholes, or industry-specific incentives, the multi-billion dollar industry of lobbying Congress for tax breaks simply vanishes. This removes a primary source of political corruption.
It Frees the Market. Libertarians and free-market capitalists should love this system. It wipes out virtually all forms of market distortion created by the tax code. There are no special tax classes for capital gains, no loopholes, and no incentives for one industry over another. It’s a fair, flat tax on extracted wealth, allowing the market to operate on its own merits.
It Radically Simplifies Governance. The current 70,000-page tax code becomes obsolete. It could be replaced by a few paragraphs of legislation and a few thousand lines of open-source code. The multi-billion dollar tax avoidance industry shrinks, freeing up enormous amounts of capital and human talent for more productive work.
It Can Scale Beyond the Federal Government. There is no reason this system should be limited to federal taxes. States and even cities could adopt it to fund their budgets, potentially replacing deeply unpopular and regressive sales and property taxes with a single, fair contribution.
A Nod to the Math
For those wondering about the math behind the curtain, it’s robust and, most importantly, insulated from political manipulation.
We model the wealth data using a composite statistical distribution (a Log-Normal/Pareto blend) and use a root-finding algorithm, Brent’s method, to solve for the precise exemption level.
The total amount of national wealth that should be exempt isn’t a political guess; it’s calculated with a simple formula based on three hard numbers that can’t be easily twisted by Congress: the total federal budget, the total national wealth, and the maximum tax rate.
Because we cap that maximum rate to a market benchmark, the entire system becomes self-adjusting to economic realities without needing constant legislative meddling. This removes power from lobbyists and places it back into a predictable, rules-based system. Any future adjustments could be handled much like the Federal Reserve manages interest rates—by an independent body empowered to make small, data-driven changes to the benchmark based on economic needs, not political favors.
We’ll release a full white paper later for the math geeks, but the code is already available on my GitHub, where the README file provides a detailed overview of the underlying math. For everyone else, all you need to know is that the system is built on a foundation of sound, verifiable, and politically insulated mathematics.
Answering the Objections
A proposal this transformative is bound to face criticism. Let’s tackle the most common objections directly, because they all have clear, pragmatic solutions.
Objection 1: “Won’t this cause a market crash when the rich sell stocks to pay the tax?”
The Reality: This is the most serious concern, and we have a two-phase plan to manage it. The plan uses the very same tools the government used to save the bankers in 2008, but flips the script to empower everyday Americans.
Phase 1: The Shock Absorber. To prevent a chaotic sell-off, the Federal Reserve would act as a temporary, stabilizing buyer for high-quality, diversified assets (specifically, shares of major index funds like the S&P 500). This isn’t a bailout; it’s an orderly mechanism to absorb the initial transition, ensuring your 401(k) remains stable.
Phase 2: The Great Rebalancing. The trillions in tax revenue are invested in America—rebuilding infrastructure, funding healthcare, and strengthening the social safety net. For the first time in decades, working families will have enough breathing room to save and invest. As they enter the market, they will purchase shares first from the Fed’s temporary holdings. This creates a virtuous cycle: the concentrated wealth of the few is gradually and organically re-seeded into the hands of the many. This is the trickle-down economy Reagan promised, but that only a fair system can deliver.
Objection 2: “Is it fair to force people to sell their family home or business to pay taxes?”
The Reality: We already do this. It’s called the property tax. Every year, homeowners across America must have cash on hand to pay taxes on their primary source of wealth—their home. If they don’t, they risk losing it.
But our system offers a revolutionary improvement. If states were to adopt this model, it could replace property taxes entirely. Imagine that: the Meritocracy Tax could fund state and local needs, including schools, meaning millions of homeowners who pay property taxes today would suddenly pay nothing on their homes.
This would also sever the toxic link between local property values and school funding—a change that would finally end the cycle of wealthy neighborhoods getting the best schools while poorer districts are left behind.
So, not only does our proposal use a long-standing principle, but it also solves one of the most unfair aspects of the current system, all while ensuring the vast majority of homeowners and small business owners are completely exempt.
Objection 3: “It’s impossible to value all wealth accurately. It’s too complex!”
The Reality: The system for this already largely exists. We can leverage the insurance industry. Millions of Americans already report the value of their homes, cars, and other possessions to insurers every year. We can create a straightforward reporting mechanism, similar to a 1099, to track this insured wealth.
Is this system perfect? No, but neither is the income tax system. There will be uninsured assets and attempts to hide wealth, which can be addressed with audits and penalties, just as we do for income tax evasion. The point is that this system is vastly simpler and more transparent than the 70,000-page mess we have today. For anyone arguing in good faith against complexity, our system is the clear and obvious choice.
Objection 4: “Won’t the wealthy just take their money and leave the country?”
The Reality: This is the oldest scare tactic in the book. History shows us the answer is no. The last time America had a truly fair taxation system was after World War II, with top marginal income tax rates over 90%. The rich didn’t flee then; in fact, that era saw the creation of the most powerful economic engine in human history.
Why? Because a system that invests in its middle class, rebuilds its infrastructure, and provides broad-based opportunity creates more wealth and prosperity for everyone. Capital flows to where the opportunity is greatest, and a thriving American middle class is the greatest economic opportunity there is.
The Meritocracy Tax would supercharge this effect. By eliminating market distortions and rewarding the productive use of wealth, it would create a business environment unparalleled anywhere in the world. Anyone building real, innovative businesses would be foolish to leave.
So, who would leave? Only those whose “success” depends on the old, broken system—the passive rent-seekers and business failures who rely on hoarding unutilized wealth at the expense of working Americans. And if they choose to leave, that’s not a loss; it’s a victory for a truly meritocratic America.
A Final, Radical Thought Experiment: The High Earner Who Pays Zero Tax
There’s one more feature of the Meritocracy Tax to consider—it’s counter-intuitive, radical, and proves the system’s logic. Under this framework, it is entirely possible for a person earning hundreds of millions of dollars a year to pay zero tax.
How? By choosing not to accumulate wealth beyond the exemption amount.
Imagine a high-flying executive or entertainer who makes $100 million in a year. Instead of buying a mansion, they rent one. Instead of owning a private jet, they lease it. They spend lavishly on services, travel, and experiences, injecting every dollar they earn back into the economy.
At the end of the year, their net worth hasn’t increased. They haven’t extracted and hoarded resources from the economy. And so, under the Meritocracy Tax, they owe nothing. Our system doesn’t see a problem with this; in fact, it sees a massive economic engine at work. That person is funding countless jobs—for the pilots, the staff, the artists, the chefs—and creating enormous economic velocity.
This isn’t a loophole; it’s the core feature of the system. It demonstrates that the Meritocracy Tax is not a tax on income, success, or even a lavish lifestyle. It is a tax exclusively on the passive extraction and hoarding of wealth. This re-aligns our incentives away from unproductive accumulation and toward active, productive reinvestment in the American economy.
The conclusion is just below, but before we wrap up, a final thought on how we make this a reality.
If this blueprint for a fairer, simpler America is the kind of solution we need, then join us in building it. The American Manifesto is more than just analysis—it’s the design-and-build firm for a smarter, more meritocratic society. Every subscription helps us develop these detailed blueprints, pressure leaders to adopt real solutions, and arm citizens with the vision to build a better future. Join us, support this work, and let’s build an America that is as fair in its design as our current system is corrupt.
Design. Build. Thrive. The future depends on it.
This Isn’t a Dream; It’s a Blueprint
We stand at a crossroads, facing a future defined by the crises of the present: staggering inequality, crushing debt, and a system so broken it rewards corruption over contribution. The path we are on is not sustainable. It’s a failed experiment that is actively dismantling the American dream.
But decline is a choice, not a destiny. The Meritocracy Tax is the alternative. It’s a self-adjusting system designed to always protect a substantial portion of every American’s wealth, where our nation’s budget is fully funded without new debt, and where the market is finally freed from the corrupting influence of a 70,000-page tax code. It’s a system built not on ideology, but on math, fairness, and merit.
This proposal is more than a policy. It’s a weapon against the despair and decay that authoritarians feed on. A society that provides real opportunity and rewards honest contribution is the ultimate antidote to fascism. By fixing the engine of our economy, we can starve the beast.
This blueprint is a starting point, and it’s only half of the solution. Alongside it, I’ve been developing a reworked, simplified safety net—one that eliminates inefficient means testing and is designed for a future where AI will fundamentally reshape the nature of work. Together, they are designed to solve both the crises of today and the challenges of tomorrow. This is our declaration that we don’t have to accept the broken system we were handed. We can, and must, build something better.
The choice is ours: do we continue to manage the decline, or do we start building the future?
Let’s get to work.
Your Turn — Let’s Refine This Blueprint
This blueprint is a starting point, not a final draft. Its strength comes from being tested, debated, and refined by a community committed to building a better future. I need to hear from you in the comments:
Does the core principle of the Meritocracy Tax—taxing extracted wealth instead of income—make sense to you? What’s the biggest flaw or unforeseen consequence you see in this model?
I’ve addressed four major objections (market stability, forced sales, valuation, and capital flight). Which of these rebuttals felt strongest? Which one felt weakest, and how could it be improved?
We’ve discussed several benefits, from eliminating lobbying to replacing property taxes. Which of these benefits is the most powerful selling point? Is there another I missed?
The model uses an 8% max tax rate tied to the S&P 500’s historical average. Does this feel like the right benchmark? What are the pros and cons of anchoring the system to a market index?
Beyond just discussing it here, what’s the first practical step to making an idea like this part of the national conversation? Who needs to see this blueprint the most?





This is a really great sounding plan, honestly.
Thanks for your reply. It will help me to spread your concept among my contacts.